, Yves BADORC, procureur collabo CRIMINEL (TJ Nanterre) qui -comme les procureurs TJ Nanterre Pascal PRACHE et TJ paris, laure BECCUAU- avant lui; met sciemment mes proches, tous meancés de mot (dont certaisn avec atrocité commises et prouvées, contre eux via commanditaire SARKOZY (par faus médicaux délibérés , et moi en danger de mort ou du pire, en bloquant criminellement toute enquête dans mes plaintes, y compris évdement celles contre lassassin SARKOZY, malgré preuves d’atrocités prouvées sur mes proches (mon père dès 2007, Abdesslam AATILAH dès 2024-2025, Mohammed MOULAY en 2025) tous menacés de mort par agents criminels de SARKOZY peu avant, et meurtres revendiqués par agents de SARKOZY preuves à lappui et très vraisemblables, tous aussi menacés de mort par agents criminels de SARKOZY peu avant ( julien abonné, en 2023 Roland WURBEL en 2007, mon avocate I.COUTANT PEYRE en 2024,, lire cet article détaillée : la persécution de l’horreur par lassassin et tortionnaire SARKOZY . La collaboration criminelle et complicité d’ Yves BADORC en contexte criminel aussi grave porté en justice est indéniable car il est saisi depuis oct 2024 de toutes mes plaintes or les enquêtes sont systématiquement bloquées sans arguments , sans être classées sans suite. Il est informé de plus de mon absence de recours près Police et à ce jour impossiblité de trouver un avocat, en état de siège (appels, mails, courriers ême AR, messages vocaux, commentares, sous controlee etquasi tous bloqués) moi même réfugiée dans le Var à 900km de Nanterre car chassée de chez moi depuis juillet 2024 via commanditaire SARKOZY par harcelement criminel avec complicité Police Nanterre (voir ma plainte déposée depuis sept 2024 y compris contre Police Nanterre,enquête bloquée là aussi par ce proc Y. BADORC!) et où suis criminellement empechée de mettre un pied chez moi depuis (bien que continuant à payer mon loyerl), par constantes menaces de mort dégorgement, de retour du Samu criminalisé etc.. avec menaces de mort sur tous mes proches en parallèle, faux posts avec usurpation identité pour tenter de em faire embarquer etc….plaintes graves dont est saisi ce procureur Y.BADORC dont l’ inaction totale est CRIMINELLE car il est sensé en tel contexte criminel prouvé, informer les services de Police, ouvrir une enquête et faire convoquer et interpeller les agents criminels cités (noms, htos , adresses IP et adresses mails à lappui !!!
en préambule avant mon article au dessous!, quelques liens capitaux dans ma persécution terrifiante via l’assassin suppôt du lobby judeonazisioniste N. SARKOZY
AIDEZ MOI AU MOINS EN FAISANT SAVOIR !! (voir Preuves sur ma page vK ici (( attention page sabotée par vk france descendre curseur a droite pour remonter ma page: , attention faux profil VK à mon nom ici cliquez ici , et là et ici https://vk.com/pet ici https://vk.com/p (laissés en place illégalement par site collabo criminel aux ordres du lobby VK france ; voir mon compte Xfrance quasi shadowban avec tous les liens bloqués par ce site collabo criminel X, :https://x.com/BeatriceELBEZEet !!!! faux profil Xfrance avec ususrpaion d emon identité ici ! :
https://xn--batriceelbeze-bhb.eu/documents-preuves-dans-mon-affaire/
: :ma plainte contre nicolas SARKOZY, du 07 oct 2021 , suivie de menaces de mort et méthodes monstrueuses non stop
*ma plainte contre SARKOZY du 24 mai 2025 sur chantage criminel et massacre de proches , torture , spoliation en cours de mes droits d’auteur poèmes) et ma plainte du 16 juin 2025 contre SARKOZY pour faux usage de faux en justice
ma requête gravissime près CSM contre les procs Pascal PRACHE et L. BECCUAU interceptée par fraude et remplacée, / et ma seconde requête près CSM du 16 mars 2024,/ contre les mêmes procureurs, interceptée elle aussi par fraude via SARKOZY et le lobby et remplacée avec des faux documents ! pour me faire passer pour folle
(cliquer sur )ma 1ère requête près CEDH d’ aout 2022, interceptée par fraude, et ma seconde requête interceptée aussi via SARKOZY et lobby par fraude …..et (cliquez sur)ma seconde requete près CEDH en nov 2023 : interceptée par fraude elle aussi via SARKOZY et lobby , en attente de jugement, et ma seconde requête près CEDH en nov 2023 aussi !
cliquer sur)ma plainte de mai 2022 pour FAUX médicaux monstrueux (fausse tumeur cérébrale cancereuse et faux AVC en mars et av 2022, sur consignes de l’assassin SARKOZY et du lobby )= tentative de meurtre pour cacher l’affaire
(cliquez sur) Torture electronique (infos) et cliquez sur faux Samu criminalisé mis en place par Sar ozy et lobby !lhorreur! pour embarquer de force la cible à l’hopital sur appel mensonger d’un agent criminel du lobby et achever la cible) la déclarer morte, ou la détruire et la mettre sous tutelle, sous couvert de faux médicaux !)
plaintes gravissimes !ma plainte du 14 nov 2023 , et voir ma plainte du 22 mai 2024 contre nicolas GODON schizo et la bande organisée criminelle de SARKOZY qui l’instrumente pour qu il me passer pour folle en vidéos ert me tue
cliquer sur la persécution d elhorreur par lassassi, et otionnaire SARKOZY
Cliquer sur Emision du 11 juillet 2024 de Nicolas BOUVIER avec comme invitée :Beatrice EL BEZE , sur ma terrifiante persécution étatique via SARKOZY . . / et voir ma plainte contre lagent criminel terroriste de SARKOZY , Sebastien SCARPINATO assistant parlementaire de sabrina SEBAIHI
Beatrice EL BEZE (0745752916 ( état de siège via SARKOZY et lobby avec courrier, mails s et appels de tiers bloqués, par opérateurs tél sur pressions du lobby mais essayez quand même) / attention aux faux profils et faux posts sur VK France et XFrance par agents criminels de SARKOZY / Ne suis pas suicidaire et ne lai jamais été
* Fautes e frappe dues à problèmes de vue aggravés par torture électronique
**************************************************
Le procNanterre Y.BADORC couvre sciemment et criminellement l’assassin SARKOZYet ses agents terroristes!
Par non traitement de mes plaintes et blocage de toute enquête contre le criminel SARKOZY et contre ses agents terroristes, Y BADORC non seulement les couvre mais met sciemment en danger du pire et demort mes proches et moi tous menacés de mort (malgré et iBAORC en est informé, atrocités déjà exécutées sur certains d’entre eux via commanditaire assassin SARKOZY / voir mes plaintes contre SARKOZY )
Pour comprendre mes accusations graves de collaboration aux procédés criminelsde N.SARKOZY et de mise en danger d’autui par Yves BADORC procureur de TJ Nanterre, lisez plus bas ce mail que je lui ai adressé le 15 sept 2025. Car comme le procureur pascal PRACHE son prédecesseur, le procureur Yves BADORC qui a pris la relève en octobre 2024 et est donc saisi de toutes mes plaintes y compris contre l’assassin et tortionnaire N. SARKOZY,déposées près TGI ,Nanterre ( où suis domicilée depuis 2004 et paye mon loyer ,bien que chassée de mon logement à nouveau en juillet 2024 avec complicité de la Police nanterre ;..et donc refugiée à Rians depuis, à 900km) ; plainte redéposée sur place à Draguignan le 20 sept 2024 mais adressée au procureur duTGI nanterre (car ma plainte en AR était été interceptée par fraude) avec supplétif pour protéger mes proches menacés de mort via SARKOZY commanditaire. procureur yves BADORC couvre siemment le criminel SARKOZY et ses agents criminels juifs nazis sionistes terroristes, en bloquant toutes les enquêtes systematiquement dans toutes mes plaintes malgré preuves terribles et ne repondant pas, ni ses services sur la reception de mes mails adressés au Procureur yves BADORC!,informé du terrorisme d’Etat ,des atrocités déjà effectuées mes proches (mon père Abdeslam ATTILH, mohammed MOULAY, sans doute « julien » labonné décédé), internement avec uniquement des faux en 2013 gagné contre l’Etat par I.coutant PEYRE , lire mon mail au pro), et des menaces de mort en boucle toujours a ce jour sur mes proches et moi pour faire fermer mon site où sont publiées mes plaintes contre la pourriture judéonazisioniste criminelle SARKOZY commanditaire depuis fin 2002 dans ma terrifiante persécution criminelle étatique. Tout cela est illégal évidemment; les procureurs bloquant systématiquement et illégalement toutes les enquêtes dans toutes mes plaintes malgré leurs preuves terribles dignes des pires dictatures (internement avec uqiueent des faux (procès gagné contre l’Etat par COUTANT PEYRE en 2017 au TJ Paris) et mettant ainsi en danger du pire mes proches et moi délibérément ! y compris dans mes plaintes déposées près Gendarmerie à Orgeval en 2022. car : Tout magistrat informé par plainte de faits criminels avérés est tenu d’en informer la Police afin de faire interpeller en urgence les coupables dénoncés preuves à l’appui et de tout faire pour faire cesser ces actes criminels et prevenir leur poursuite – due en plus au fait que je refuse de supprimer mes plaintes donc celles contre lassassin et tortionnaire SARKOZY. mais toujours aucune convocation, aucune interpellation ni aucune enquête à ce jour malgré la gravité de mes plaintes et de mes preuves ; ce qui prouve encore si besoin en était que l’on est dans uen persécution criminelel étatique et que Le TGI Nanterre est une véritable maffia judiciaire aux ordres des criminels juifs nazis sionistes tel l’assassin N..SARKOZY et ses méthodes nazies, depuis 2002, date de son accession au ministère de l’Intérieur, et depuis. Je rappelle ici que ma première requête en mai 2023 tout comme ma seconde requête en 2024, près CSM contre les procureurs pascal PRACHE (tj nanterre) et laure BECCUAU(TJ Paris) pour collaboration faite sciemment aux procédés criminels de SARKOZY,et mise en danger délibérée d’autrui par non traitement de mes plaintes, car ces 2 requêtes, qui ne peuvent qu’être envoyées en AR ont été systématiquement interceptées frauduleusement via SARKOZY commanditaire et remplacées et donc suives de non recevabilité et par ce fait, limpunité » régnant, ont été suivies de nouveaux faits atroces en 2024 et 2025 contre mes proches (voir ma seconde plainte du 24 mai 2025 contre SARKOZY à ce sujet ), car lla collabotion criminelle des procureurs a permis et permet toujours a ce jour, yves BADORC collaborant au pire lui aussi, la poursuite des crimes (atrocités sur proches, torture sur moi, etc) via l’assassin SARKOZY commanditaire .







______________________________________________________
Quelques documents que je remets ici pour preuves dans cette terrifiante persécution étatique , avec torture électronique dont la finalité est tuer la cible
(cliquez sur) ma plainte contre Nicolas SARKOZY, déposée au TG Nanterre, le 7 octobre 2021, clef USB avec vidéos preuves à l’appui…. et depuis ce jour 07 oct 2021 ce sont de constantes menaces de mort, y compris sur mes proches (les SANCHEZ( mon oncle arsène SANCHEZ et sa famille) et « les AATILLAH » et leur famille (insert du 2 mars 2025) et sur Abdesslam ATTILAH, pour que je supprime ma pliante contre SARKOZY: je ne supprimerai pas ma plainte car ça faciliterait les meurtres de cette charogne criminelle Juive nazie sioniste SARKOZY


*ci dessous seconde plainte contre SARKOZY en mai 2025, ma plainte terrible (55 pages) du 24 mai 2025 contre SARKOZY pour chantage criminel sur la vie de tous mes proches, torture sur moi, , pour que je supprime ma plainte du 7 oct contre SARKOZY tentative de meurtre par empoisonnement + faux médicaux sur proche très cher Abdesslam AATILLAH, et par faux médicaux sur moi , etc .. .


*et ci dessous3ème plainte contre SARKOZY : ma plainte u 16 juin 2028 contre SARKOZY pour faux et usage de faux en justice avec usurpation de mon identité pour tenter de faire supprimer par fraude ma plainte du 07 co 2021contre SARKOZY


Preuves ci dessous procès gagné en mars 2017 contre l’Etat, pour mon internement arbitraire sur ordres de Sarkozy. sur la totalité avec indemnités , suivi de la de sa seconde procédure dès 2018 pour demander la destruction de tous les docs psychiatriques en raison de fabrication de faux à tous les niveaux ( ci dessus) , avocate I Coutant Peyre aussi ( qui nest plus mon avocate depuis oct 2023 ,) qui a recu alors d ‘après les agents du lobby , menaces criminelles sur ses proches pour collaborer! , et qui dès lors a manqué gravement à don devoir d’humanité bien que me sachant en danger de mort , en ne m’accordant sans raison plus un seul rdv depuis 2017, n’est pas venue à audience de la 2ème procédure en 2020, ni au jugement d’appel le 12 oct 2023 , ne ma guidant vers aucun autre avocat pour ma requête CEDH pour tenter de sauver ma vie et elles des GODON , malgré mes demandes répétées par mails et bien quelle soit informée dans le détail par mails de la torture electronique en meurtre lent, et de ses preuves, du (faux) samu du lobby , violent venu plusieurs chez moi, sur appel mensonger, de la polie venir avec 5 pompiers le 25 nov 2019 , à 6 h du mat, pour soi disant tentative de suiscide ! ( mensonge car ne suis pas suicidaire, et sans m appeler avant sur mon port ni sur mon fixe !), des fausses tumeurs cancéreuses , pour moi en 2022 ( ai déposé plainte en mai 2022) et pour le père de N GODON, en juillet 2022 , de la demande d’aide faite à moi par les GODON persécutés en danger demot , des requêtes dont celle près CEDH ) interceptées via lobby par fraude, des tentatives de meurtre répétées sur nous trois père et fils GODON et moi , via samu criminalisé , etc etc

ci dessous page 14 / 28 , où on lit , » il s’agit bien de production de faux a tous les niveaux …. »

Preuves ci dessous procès gagné en mars 2017 contre l’Etat, pour mon internement arbitraire sur ordres de Sarkozy. sur la totalité avec indemnités ,


ci dessous contre courrier grave du 23 avril 2014 après les menaces faites à lhopital psychiatrique pour me faire taire sur mes plaintes en cours et les méthodes criminelles dans mon affaire, avec demande que je me retire des réseaux sociaux ! ….le nom de l’avocate que n’avais pas dévoilé publiquement est maitre Isabelle COUTANT PEYRE ( cf : voir docs plus haut )

- courrier adressé par le député Noel MAMERE en 2006 a SARKOZY en mon soutien


ci dessous attestation en 2009 par 3 professeurs université Nanterre sur ma bonne santé mentale, Christian LAZZERI, Thierry LABICA, Jacques NEMO,… qui m’ont soutenue (les syndicats étant muselés jusqu’au niveau national dès 2008 et C.DEVES n’étant plus secrétaire national d syndicat Sneptes alors) ….face au grave harcèlement sur place dès 2008 par Bernadette Madeuf , présidente université collabo aux procédés criminels dans mon affaire (voir son faux ignoble plus bas ! fait sciemment en complicité avec la Police, pour tenter d’aider dès cette date à me faire interner, avec uniquement de graves et minables mensonges, malgré la gravité de l’ affaire et tous les courriers cités (de directeur , profs, secrétaire national, syndicat, politiques) en mon soutuen

…..et parce que ‘j’en ai marre d ‘être salie en boucle par de la « merde » via le lobby judeonazisioniste, ses agents criminels payés , son commanditaire ,et ses collabos criminels , voici quelques documents tant sur mes qualités intellectuelles (articles de recherches sur un petit poste d’agent technique, du jamais vu!)… que sur ma dimension humaine..
ci dessous faux témoignage vomitif et pas même crédible tant cest délirant! par la police( ici commissaire matthieu CLOUZEAU) dans ma plainte contre la police reconvertie avec partie civile en 2007, faux témoignage gerbant , par la police nazifiée par SARKOZY ,ainsi voir ce document blindé de sales intox avec sale complicité criminelle des collabos d’OPDHLM dans le réquisitoire suivi d’un non-lieu par le juge, et de mon Appel de non lieu, que j’ai gagné seule en mars 2012, sans avocat ( preuve que je jouis et au delà, de toutes mes facultés mentales, ce qui ne semble pas être le cas de ce commissaire …





et ci dessus éloge de mes qualités humaines durant des années . je cite . » au cours des mois et des annés (…) Melle EL BEZE apporte outre sa compétence , son intelligence , son sens des responsabilité , une dimension humaine et conviviale … « . …. étonnant n’est ce pas ! ( et ce ne sont pas les mêmes chefs de service !) alors que le lobby judéonazisioniste et ses collabos criminels dan la Police et ailleurs me font passer pour « ne jouissant pas de toutes mes facultés mentales, schizophrène, »paranoiaque , haineuse, dangereuse!.. blablabla, avec rien à l’appui évidemment… Voilà les méthodes du criminel SARKOZY !, suppôt du lobby et détraqué mental qui s’arroge droit de vie et de mort sur certains citoyens , tels le père et la fille EL BEZE, le père et le fils GODON et sur des proches etc..
*docs sur la torture electronique : confirmation de meurtre étatique par Barrie TROWER, expert en microondes , qui a témoigné à la retraite … on lit ci dessous » ….les rendre malades et ainsi les faire mourir à petit feu …. »

docs de 2017 , symptômes multi inflammatoires ( brulée vive par microondes ciblés distance) toujours inexpliqués, quatre ans après , en 2017, débutés en nov 2013 = peu après sortie internement en 2013, ( voir docs ci dessous de I COUTANT PEYRE,) c’est le début de la début torture electronique qui avait été prévue pour m’éliminer ,= me tuer a terme avec les apparences de la maladie, 24/24 avec seances horribles qu’ils intensifient autant qu’ils veulent ) suis encore en vie parce que je fais savoir, ce qui ralentit mon assassinat commandité par lea charogne criminelle SARKOZY, voyez le reste des infos sur la torture en cliquant ici ….

ci dessous résumé des commentaires des acheteurs de mon recueil de poèmes dédié à mon courageux père décédé , grave victimes du lde lassassin SARKOZY),que jai découvert récemment fait par amazon ( site vente de mon recueil de poèmes) hyper élogieux ‘ et pourtant , ce qui prouve la censure fourbe et escroquerie, 3 ventes depuis 2021 ! soi disant même pas une vente par an ! ce qui est impossible ai 4078 amis VK, ….. car SARKOZY tente d me déposséder par fraude de mes droits d’auteur plainte venir par moi ) r via les faux psychiatriques faits sur ses ordres lors de mon internement en 2013 sur ses ordres, fait uniquement avec des faux mais gagné contre l’Etat en 2017( voir en haut docs de COUTANT PEYRE !!!

voir suite des documents https://xn--batriceelbeze-bhb.eu/documents-preuves-dans-mon-affaire/
En savoir plus sur Site de Beatrice EL BEZE
Subscribe to get the latest posts sent to your email.

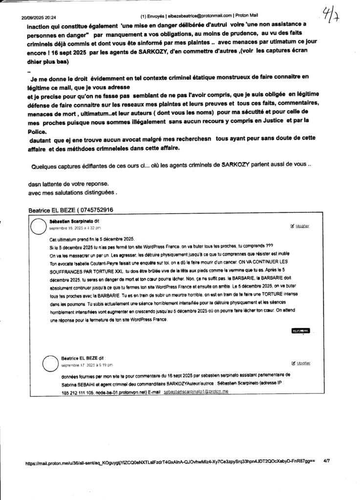
Yves BADORC est corrompu, tu devrais bien lire l’article. Il connaît Emmanuel Macron, il a protégé Benalla, il connaît également Nicolas Sarkozy. C’est Nicolas Sarkozy, dans l’ombre, qui a choisi Yves BADORC. C’est un procureur, agent du lobby. Il n’ouvrira pas d’enquête dans ton affaire. Yves BADORC, on peut le mettre en taule pour ce qu’il a fait, comme Nicolas Sarkozy. Je peux te dire que si Badorc essaie de me faire interpeller, je fais ouvrir une commission d’enquête parlementaire sur lui.
dnnnées fournies apr commentaire du 22 sep 2025 …par sebastien Scarpinao ; assitant parlementaire de sabrina SEBAIHI , et agent crimine terroriste du commadaire assassin SARKOZY . / Auteur/autrice : Sébastien Scarpinato (adresse IP : 79.127.160.208, unn-79-127-160-208.datapacket.com)
E-mail : sebastienscarpinato1@proton.me
ma reposne : taf guele létron , tu vas ouvri uene commission denquête dans ton cul avant la taule …. minable taré fis depute juif nazi criminel , tu vas plsu faire ton mariole mlongtemps le sac de merde ; .. .. retourne à quatre tpattes ter aire enculer ..avant la taule comme ton la&ssassin SARKOZY
je vais te trancher la gorge si tu rentres au 35 allée de l’Arlequin. Yves BADORC est corrompu, tous tes proches vont mourir, ignoble ordure.
Lis bien l’article sur Yves BADORC, on ne va pas te lâcher.
Je suis actuellement au Maroc pour enquêter sur les Atillah. J’ai deux guides Marocains avec moi. Ils sont directement en lien avec le gouvernement Marocain.Crois moi cette fois c’est du sérieux. On va s’occuper de tous les Atillah.
Tu vas immédiatement retirer ton dernier article sur VK concernant le confit Israëlo-Palestinien.
Preuve que je suis au Maroc.
https://i.imgur.com/FhzqV5H.jpeg
données fournies par mon site pour commentare du 22 spet 2025 par jean claude Cohen , agent terroriste criminel terroriste Auteur/autrice : Jean Claude Cohen (adresse IP : 2a0c:4d00:2:8::2, onion.xor.sc)
E-mail : Cohen@proton.com
ma reponse (fautes de vue ) ;, taimes pas ma prose lé gros étron puan en crise ,cohen, ?? , precise de quel article jtu parles ,pour que ej le publie aussi sur mon site ) euh .. tu crois vraiment que tu vas me donner des ordres gros sac demerde ?? ahahah … crève !!! et avant prends ton doigt et mets toi le dans le cul avec tes ordres et tes menaces ! faites quoi que c e soit contre les AAtillah et cest ton nabot taré lassassin commanditaire SARKOZY qui se mangera une nouvelle plainte direct dans sa gueulle . Que Dieu vous inflige le pire sales fils depute juifs nazis sionistes criminels … et vous extermine ! vosu puez i dici !
T’inquiète pas, Béa, on va déréférencer ton site WordPress France, tu vas rejoindre la poubelle de l’histoire.
T’inquiète pas, Béa, on va déréférencer ton site WordPress France, tu vas rejoindre la poubelle de l’histoire. Tu ne dois plus faire de référence au mot juif, ‘on va déréférencer ton site WordPress France, ignoble vermine.
données fournies pour ccmmentaire du 23 spe 2025.par debastien Scarpinato ; assistant parleemanaire de sabrina SEBAIHI et agent criminel de u commandaiaire SARKOZY / Auteur/autrice : Sébastien Scarpinato (adresse IP : 2a0d:5600:35:8::23, 2a0d:5600:35:8::23)
E-mail : sebastienscarpinato1@proton.me
ma réponse ( fautes de frappe ) jamais vosu ne minterdirez pas de dire el mot « juif » l, sales létron juif nazi sioniste terroriste crimine! tu es objet de nombre de mes plaintes graves et toi qui menaces de mort en boucle et fast des chantages criminels non stop, sur la vie de tous ems proches et sur moi , en toute impunité , agresse physqiemeent violemment el père de Goodn , fais des fausses plaintes avec commmissariat d’yvry , abus de faiblesse sur un schizo pour el pousser à tuer , ce sont vos actes qui tombent sosu el coup de la loi et c e sont les crimes de cette pourriture SARKOZY la cllaboraion criineleld du proc BADORC qui bloque mes plaintes et les en quêtes etmet sciemment en danger du pire mes proches et moi .. alors retourne tef air enculer létron juif nazi sioniste terroriste, ta place et en taule et celle de don commandairair SARKOZY aussi et jespère quil va écoper du maximum le 25 spetjpour procès kadafi , ett de la priosn ferme à nouveau ! elle sont où vos plaintes les file depute si si soidisant je diffame et suis doiatantimétite ??? . nulle part !! … et cest toi létron criminel terroriste qui demande le dérencement de mon site ,pou protéger vos crimes ! Que Dieu vosu inflige a toie ton commanditare assassin SARKOZY , le pire l
Tu as vu la dernière video de Godon qui s’est rendu a Nanterre
Ton logement est squatter , la serrure est péter, ton appartement taguer , les salops ont meme voler ta statuette d’ange que l’on voyait chez toi .
mais tête de con , minable fiotte y a pas de vdiéo ‘tu as oubiée de la mettre .??. allez retourne tef faire enculer sale fils depute juif nazisioniste et va crever avec tes intos ! et ton assassin commanditaire lssassasin SARKOZY aussi !
La rigolade est terminer , Jean Claude Cohen nous a donner les ordres d’en haut ( Sarkozy) .
Il veut en finir avec toi au plus vite , il risque 5 ans de prison et veux donc en finir le plus vite avec El Beze
Donc attends toi a avoir une intensification de la torture électronique
données fournies par mon site pour commentare du 22 spet 2025 par jean claude Cohen , agent terroriste criminel terroriste / Auteur/autrice : Fabrice (adresse IP : 2a00:23c8:8839:da01:502a:7868:8805:c6b4, 2a00:23c8:8839:da01:502a:7868:8805:c6b4) E-mail : fabrice.decourtenay@gmail.co
ma reponse (fautes de vue) ta gueule retourne te faire enculer de courtenay avec l étron d cohen .. , mon assassinat en cours par toture et ma mort si jen crève tant cest volent, remonteront à ce fils d e pute commanditaire SARKOZY et sont déjà signés SARKOZY ,et ça ne fera qu »aggraver son cas . et vous pouvez, ,avec votre fdp crimine commanditaire SARKOZY qiui nest pas au desssu des lois,, vous mettre tous vos ordres, ulimatum et menaces demot dans le cul! Que Dieu vous inflige le pire a tous !
On va réintensifier les souffrances dans l’après midi puis dans la soirée tu va douillere subir des tortures inimaginable sur la tête et partout et dans la gorge et poumons on va continuer le vacarme avec des stridences électroniques de plus en plus puissantes … Ça va être terrifiant a subir tu es une vermine, tu dois subir les pires ignominies, les pires atrocités pour te faire fermer ton site WordPress France et si tu refuses on va te crever par torture.
données fournies pour ccmmentaire du 25 ept 2025.par debastien Scarpinato ; assistant parleemanaire de sabrina SEBAIHI et agent criminel du commandaiaire SARKOZY / Sébastien Scarpinato (adresse IP : 2a02:540:3:2009::12, 2a02:540:3:2009::12) E-mail : sebastienscarpinato1@proton.me
ma reponse: ( fautes d vue ) ton assassin SARKOZY qui fait sa pleureuse en nous prenant pour des cons ( je suis innocent blabla) veut poursusivre ses crimes ??.. eh bien cest lui qui vas douiller, l lassassin ! qui m fait torturer 24/24 avec seances atroces ! et fait massacrer mes proches avec chantage criminel pour que je supprime me splaintes contre lui !!!! tout est dit !! sur ce monstre qui tué nombre de vicitimes outre sa guerre en lybie dégueulasse ..et mon meurtre en cours au bout de quasi un quart de siècle de persécutiion terrifiante! avec menaces de mort sur tous mes proches et atrocités faites pour certaisns dentre eux) etc est signé et remontera jusquà votre pourrtiure criminelle commanditaire juive nazie sionsite .Torchez vous tous ses larbins et votre nabot taré commanditaire aussi avec vos ordres nazis !! ca même je dois crever par toture je ne fermerai jamais mon site!!! car c’est mon seul moyen de defense pour protéger ems proches et mo face àce taré criminel .Que Dieu lui inflige le pire! et à toi aussi létron juif juif nazi sioniste terroriste scarpinato, en attendant la taule retourne te faire enculer puisque t’aimes ça, minable merde ta place est taule! et si le procureur Bardorc ne te couvrait pascriminellementt tu aurais déjà fermé ta gueule depuis longtemps !
on va te buter et on va raconter à tout le monde que tu es partie te réfugier en Russie, tu es bien naïve pour ne pas s’apercevoir que Sabine Land est une envoyée du lobby.
Si tu rentres au 35 allée de l’Arlequin à Nanterre, on fera intervenir le SAMU criminalisé immédiatement, on te fera détruire physiquement et ensuite on te fera mettre sous tutelle et on te fera crever par torture électronique, ton cœur va lâcher. Si tu rentres au 35 allée de l’Arlequin à Nanterre, il y a de faux policiers, puis Yves BADORC est prêt à couvrir ton meurtre.
données fournies par mon site pour commentare du 22 spet 2025 par jean claude Cohen , agent terroriste criminel terroriste / Auteur/autrice : Fabrice (adresse IP : 2a00:23c8:8839:da01:502a:7868:8805:c6b4, 2a00:23c8:8839:da01:502a:7868:8805:c6b4) E-mail : fabrice.decourtenay@gmail.co
ma reponse (fautes de vue) ta gueule tu nous gaves ..le taré juif nazi sionsite criminel, retourne te faire enculer avec ton gros s ac de merde jean claude cohen .. , mon assassinat en cours par torture et ma mort si jen crève tant cest volent remonteront à ce fils d e pute commanditaire SARKOZY et sont déjà signés: SARKOZY ,le fils depute ne fera qu »aggraver son cas . et vous pouvez touset votre fdp criminele SARKOZYaussi, vous mettre tous vos ordres dans le cul! Que Dieu vous inflige le pire a tous !
Salope, on va te faire subir des séances horriblement intensifiées,r, on va continuer les brûlures par torture électronique. Tu dois immédiatement arrêter de parler de Nicolas Sarkozy, tu vas supprimer toutes traces de Nicolas Sarkozy sur ton site WordPress France et sur ton compte VK, tu n’as pas le choix, e putain. Tu t’inquiètes pour les menaces de mort sur la magistrate qui a condamné Sarkozy, tu devrais plutôt t’inquiéter pour tes proches, pas besoin d’être intelligente pour deviner le sort qui leur est promis à tes proches. On va être impitoyable, on va buter Corinne SANCHEZ, on va bientôt buter Damien SANCHEZ, tous les SANCHEZ vont crever, Arsène SANCHEZ, il est vieux, on va attendre pour le crever, c’est pas le plus dangereux, tu joues à quoi El Beze ? Nul ne peut envoyer Nicolas Sarkozy en prison et rester en vie, le lobby s’occupe de la magistrate, mais tu devrais surtout t’inquiéter pour toi, petite salope, tu es comme une chienne avec ta puce, on peut te faire crever à distance, je te jure que si Nicolas Sarkozy met ne serait-ce qu’un pied en prison, on va devoir éliminer toute la vermine, donc toi et tes proches en font partie. Si tu rentres à Nanterre au 35 allée de l’Arlequin, on te bute, tu vas crever, vous allez tous crever de vouloir envoyer un innocent, Nicolas Sarkozy, en prison, mais tu dois savoir une chose, El Beze, pendant que Nicolas Sarkozy dormira en prison, toi, tu subiras les pires ignominies, les pires atrocités, ton cœur risque de lâcher, pendant que Nicolas Sarkozy sera en prison,(;), c.Sarkozy devrait être premier ministre de la France, pas en prison,, (..). on veut juste que tu arrêtes de parler de Nicolas Sarkozy, on veut juste que tu le lâches et si tu refuses d’obéir, va vraiment falloir buter tous tes proches jusqu’au dernier,
données fournies pour ccmmentaire du 27 sept 2025.par debastien Scarpinato ; assistant parleemanaire de sabrina SEBAIHI et agent criminel de u commandaiaire SARKOZY / Auteur/autrice Sébastien Scarpinato (adresse IP : 2a0d:5600:35:8::23, 2a0d:5600:35:8::23) E-mail sebastienscarpinato1@proton.me
ma reponse : ( fautes de vue) ta gueule tu nous gaves l étron taré tu es encore en crise ! il faut on t’enferme en urgence ! le fis depute juif nazi sioniste, comme ton fils depute commanditaire assassin SARKOZY !!!!!!!